標準偏差 ( Standard deviation )
.
分散の平方根 ( ルートを取った値 )

各データと平均値の距離の平均値

deviation1.gif,44KB

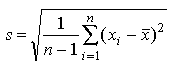
標本標準偏差

variance2.gif,12KB

.
.